ALOHA!
本日は、ハワイ大学のカレッジの授業の1つである“MATH103(数学)”についてご紹介していきたいと思います!
今回は、私が以前通っていたハワイ大学カピオラニコミュニティカレッジ(KCC)での経験をもとに説明させていただきます。

まずカレッジの学部課程において数学の授業は必須なので、文系理系の学部を問わず履修する必要があり、クラスの番号によってレベルや勉強範囲が異なります。
MATHのクラスを見ていくと75や88のレベルのものもあり履修することは可能ですが、少なくともMATH100かMATH103のレベルの授業を履修しないと卒業単位として認められません。
ここまで聞いて100や103の授業はどんな内容が出題されるの?と疑問に思う方や数学が苦手だけど大丈夫なの?と不安に思う方もいるのではないでしょうか。
実際私は元々数学が苦手なため今まで勉強することをできるだけ避けてきたので、カレッジ入学後履修する必要があると知ったときはとても不安に感じたのを覚えています。
しかし、実際履修してみると中学校や高校で学んだ基本的な部分が範囲だったので数学が苦手な私でも授業を修了することができました。
恐らくこちらのクラスはどなたでも修了することができると思います。
ただ、それでも心配な方はMATH103と同時にMATH88という授業を並行して履修するという方法もあるのでそういった進め方も良いでしょう。
週の授業数は1日多く受けることになりますが、MATH88では授業を行うのではなく自習の時間が設けられます。そのため、分からないことがあればその日に聞くと詳しく教えてもらうことができるので安心です。
もちろん番号が高くなるにつれ難易度も高くなるので、数学が好きな方、得意な方は挑戦してみてくださいね。
さて、詳しい授業内容ですが、MATH103では主に計算問題が出題されます。例えば、中学校で出題される平方根の計算、一次方程式、連立方程式や高校で出題される二次関数や因数分解、集合に関して学んでいきます。
まれに表を用いた問題や応用問題が出題されますが、基本的には公式等を覚えていれば答えることができる問題ばかりです。
ただ、問題によっては日本で学んだ公式とアメリカで学ぶ公式が異なる場合もあるので、その場合はその都度覚えて計算方法を変える必要があります。
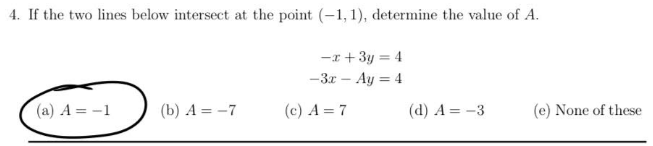
実際に私が履修していた時に解いていた問題をご紹介します!

問題文は、”下の2つの線が(-1,1)で交わるときのAの値を求めよ。”という問題です。
問題文の意味をある程度は理解しないといけませんが、式を確認すると一度は見たことある問題ばかりだと思います。
いかがでしたでしょうか。
留学生活において数学の授業の履修は避けては通れない道ですが、数学が得意な友達に助けてもらったりチューターという図書館で教えてもらえたりするものを活用して頑張りましょう!
授業のことやハワイ留学に少しでもご興味のある方は、まずはHECハワイ留学支援センターまでご相談ください。
MAHALO!























